AIR COMPRESSOR
& PIPES LEADER
x

Common parameters of air compressors

Common parameters of air compressors

5th Nov, 2025

1. Discharge volume (i.e., volumetric flow rate): Under rated discharge pressure, the volume of gas discharged by the air compressor per unit time is converted into the gas volume under the intake state, which is the discharge volume (i.e., volumetric flow rate) of the air compressor, and the unit is m³/min. Generally speaking, the air discharge volume of an air compressor refers to how many cubic meters of air are drawn into the machine's intake per minute, rather than how many cubic meters of compressed air can be discharged from the machine's outlet per minute.

2. Discharge Pressure: The air compressor's discharge pressure refers to the final gas pressure (gauge pressure) discharged by the compressor, measured in MPa. The air compressor industry typically uses kilograms (kg) as the pressure unit, where 1 kg = 0.1 MPa. The discharge pressure marked on the air compressor's nameplate is called the rated discharge pressure, which is also the compressor's maximum permissible discharge gauge pressure. Discharge volume and discharge pressure are two very important parameters of an air compressor.

3. Air Compressor Discharge Temperature: The air compressor's discharge temperature refers to the temperature of the gas discharged from the air compressor's main unit (cylinder head) exhaust port, measured in °C or °F. The compressor's discharge temperature is an important indicator of compressor safety. Exhaust temperature is limited by factors such as the properties of compressed gas, the temperature resistance of lubricating oil and sealing materials, and rotor operating clearance. Exhaust temperature is an important performance parameter of air compressor units.

4. Unit Input Power: Unit input power refers to the total input power of the air compressor unit (measured from the three-phase input bus), measured in kW.

5. Unit Input Specific Power: Unit input specific power refers to the ratio of the unit's input power to its exhaust volume at a specified exhaust pressure: Unit Input Specific Power = Unit Input Power / Exhaust Volume.

Its unit is kW/(m³/min). According to GB19153 "Energy Efficiency Limits and Energy Efficiency Grades for Positive Displacement Air Compressors," the energy efficiency limits for specific power vary for different pressures. 

6. Air-to-Energy Ratio of Air Compressor Units (Air Compressor Stations): The air-to-energy ratio of an air compressor unit (air compressor station) refers to the electrical energy consumed per cubic meter of compressed air output (converted to intake state) during operation, measured in KW*H/m³.

D = E/G Where: D = Air-to-energy ratio of air compressor unit (KW*H/m³)

E = Total power consumption of air compressor unit (KW*H)

G = Total air supply of air compressor unit during the measurement period (intake state) (m³)

The air-to-energy ratio at a certain pressure can be obtained by dividing the specific power value at that pressure by 60: Air-to-energy ratio = Specific power ÷ 60

7. Calculation of Compressed Air Pipe Diameter:

In principle, the pressure drop in the pipeline should not exceed 5% of the air compressor's operating pressure. Therefore, the calculated value should be rounded according to the standard pipeline size table, using the larger value.

d - Compressed air pipe diameter (mm); Q - Air compressor nameplate discharge capacity (m³/min); p - Air compressor discharge pressure (gauge pressure) (MPa); v - Economic flow velocity of compressed air in the pipeline (m/s).

Reference for economic flow velocity in the pipeline: Discharge pressure: 0.1-0.6MPa, 10-20m/s; 0.6-1.0MPa, 10-15m/s; 1.0-2.0MPa, 8-10m/s.

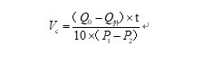
8. Estimation of air tank size:

Vc—Minimum volume of the buffer tank, in cubic meters (m³); Q0—Air volume required for the pneumatic system to maintain normal operation (m³/min); Q<sub>external</sub>—Air supply volume at the inlet of the storage tank (m³/min); t—Time (min) for the pipeline pressure to drop from P1 to P2; p1—Gas pressure stored in the storage tank (MPa); p2—Lowest allowable pressure drop in the storage tank (MPa).

The estimated results can be rounded according to the storage tank volumes specified in JB/T8867 "Stabilized Reciprocating Piston Air Compressor Storage Tanks": 0.3, 0.5, 1, 2, 3, 4, 5, 6, 8, 10, 12. The following empirical data for selecting air storage tanks are for reference (Q: air compressor unit (station) output, minimum air storage tank volume): a) When Q < 6 m³/min, Vc = 0.2Q b) When Q = 6 - 30 m³/min, Vc = 0.15Q c) When Q > 30 m³/min, Vc = 0.1Q

9. Determining the required increase in air compressor output when the pressure is insufficient:

Where: ΔQ – the required increase in air compressor discharge capacity (m3/min); Q<sub>original</sub> – the original air compressor discharge capacity (m3/min); p<sub>actual</sub> – the target working pressure (bar) that the system needs to achieve; p<sub>original</sub> – the working pressure (bar) that the original air compressor can achieve.


CONTACT US

  • Your Name:
  • Your E-mail:
  • Your Phone:
  • Your Country:
  • Your Requirements:

+86 13589212669

+86 15154296541

sales11@desuequipment.com

qrcode

+